Des squelettes gris et décharnés tachaient le paysage qui s'offrait à moi, désormais de hauts mâts sans vie, ombres fanées de leur ancienne splendeur verdoyante – des arbres morts jonchaient le sol. Des chicots de pins ponderosa, de pins pignons et de genévriers alligator recouvraient les flancs des montagnes. C'était dans le nord du Nouveau-Mexique, en octobre 2016, que j'ai vu de mes propres yeux, pour la première fois, l'ampleur du dépérissement des arbres. J'étais bouche bée en songeant au temps qu'il avait fallu à ces géants charismatiques pour devenir les figures dominantes du paysage qu'ils devaient être à leur apogée. Même morts, ils dominaient le paysage, s'élevant au-dessus de toute forme de vie. Au cours de ce voyage, j'ai visité plusieurs sites et été témoin de ces épisodes de dépérissement forestier qui se sont étalés sur les soixante-dix dernières années. La sécheresse, les insectes et les incendies avaient tous contribué à la décimation continue de ces forêts. Voir ces cadavres de mes propres yeux était saisissant, car les photographies ne parviennent pas à rendre compte de l'ampleur du phénomène.

C'est une période passionnante pour étudier les mécanismes à l'origine de la mortalité des arbres. On en sait beaucoup sur les facteurs qui contribuent à la mort des arbres, mais l'une des plus grandes sources d'incertitude dans la plupart des modèles de végétation reste le sort du puits de carbone terrestre. Sans savoir dans quelles conditions les arbres persisteront ou mourront, les prédictions de la quantité de carbone qui sera capturée par les plantes terrestres restent incertaines. Les forêts dominent ce puits de carbone terrestre – travaillant avec diligence pour capturer des concentrations toujours croissantes de dioxyde de carbone atmosphérique. Lorsque des millions d'arbres meurent en peu de temps, ces mastodontes pourraient passer d'un puits de carbone à une source de carbone. Meilleur compréhension #WhatKillsTrees contribuera à affiner notre capacité à prédire le sort des forêts mondiales.
Des recherches ont mis en évidence l'interaction de plusieurs mécanismes menant à la mort des arbres : défaillance hydraulique, carence en carbone et attaques biotiques. Mes recherches portent sur la défaillance hydraulique. Les arbres dépendent d'une colonne d'eau continue dans leur xylème, depuis son absorption par les racines jusqu'à l'évapotranspiration au niveau du feuillage. Cette eau, entraînée contre la gravité par l'évaporation au niveau des feuilles, subit une rupture si celle-ci est interrompue que la circulation de l'eau devient inopérante pour la plante. Lorsque la disponibilité en eau diminue dans le sol, que la demande atmosphérique en humidité augmente, ou que les deux se produisent simultanément, la colonne d'eau dans un arbre peut subir une tension importante. La cavitation survient lors d'un stress hydrique lorsque les tensions du xylème deviennent si négatives que la colonne d'eau se rompt, permettant la formation d'une embolie (bulle d'air). L'intensité et la durée du stress hydrique peuvent entraîner une cavitation généralisée dans les tiges des arbres. À un certain point, cette perte cumulée de la capacité à conduire l'eau dans la plante peut lui être fatale. Mes recherches visent à identifier ce seuil critique.
Afin de quantifier les impacts du stress hydrique, de nombreuses méthodes peuvent être employées. Je reviens tout juste d'un atelier sur les méthodes d'étude des relations hydriques chez les plantes (financé par la NSF et la section Écophysiologie de l'ESA) qui s'est tenu dans l'Idaho (un grand merci à #Idahydraulics2017 !). J'y ai appris, auprès d'experts du domaine, plusieurs méthodes d'évaluation de la réponse des plantes au stress hydrique. J'avais postulé pour participer à cet atelier afin d'approfondir mes connaissances sur ces méthodes, mais il est important de souligner que le plus enrichissant a été de pouvoir échanger avec de nombreuses personnes passionnées par la recherche dans ce domaine. Après un an de doctorat, j'ai enfin trouvé ma communauté.

La tension dans le xylème est souvent mesurée à l'aide d'une chambre à bombe à pression. En ajoutant une pression égale à la tension du xylème lorsqu'un échantillon a été coupé de la plante, de l'eau sortira de l'extrémité coupée d'un échantillon comme dans le tweet ci-dessous.
https://twitter.com/wmhammond/status/865556281565691905
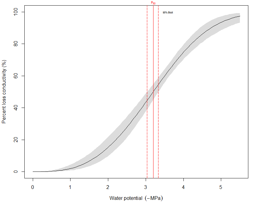
Au fur et à mesure que les arbres subissent un stress environnemental croissant, de plus grandes proportions de xylème deviennent cavitaires jusqu'à ce que l'arbre ne puisse plus fournir la quantité minimale d'eau nécessaire à sa survie. Cette relation entre la tension du xylème et la cavitation a été caractérisée par des courbes de vulnérabilité, qui tracent le pourcentage de perte de conductivité (PLC) le long d'une tension croissante de l'eau du xylème (un potentiel hydrique plus négatif, voir ci-dessous).

Chez les arbres naïfs à la sécheresse, à mesure que le potentiel hydrique diminue, le pourcentage de perte de conductivité augmente. À certains PLC, ces courbes montrent une réponse dramatique semblable à un seuil : un point de non-retour pour les espèces qui traversent ce point de stress. La relation entre le potentiel hydrique et le PLC peut se découpler lors d'une sécheresse ultérieure. Cela peut être démontré par une technique appelée coloration active du xylème. En tirant le colorant à travers une section de tige séchée, seuls les tissus qui conduisent encore l'eau prendront la tache. Cela permet la visualisation des voies embolisées dans une vue en coupe transversale de la tige. Le Dr Anna Jacobsen fournit un guide extrêmement utile sur cette méthode ici. Ce guide a été rédigé par le Dr Martin Venturas, avec qui j'ai eu le plaisir d'apprendre la coloration Active Xylem à #IdaHydraulique2017.
Deux jeunes pins taeda, soumis au même potentiel hydrique (-0.50 MPa), ont été colorés et sectionnés transversalement. La tige de gauche a été exposée à un stress hydrique quasi létal, puis réhydratée et a récupéré. La tige de droite n'a jamais subi de stress hydrique. Bien que leurs potentiels hydriques suggèrent un potentiel de conduction hydrique (PCL) très faible, la tige ayant subi la sécheresse conserve du xylème embolisé. Lorsque l'eau revient à une plante en période de sécheresse, le xylème fonctionnel restant s'équilibre avec le nouveau potentiel hydrique plus élevé du sol. On n'a pas observé de rinçage ni de remplissage des vaisseaux embolisés chez les arbres, et cette embolisation persistante après réhydratation constitue un séquelle fonctionnelle de la sécheresse (voir images ci-dessus). L'augmentation de la surface conductrice nécessite la croissance de nouveaux vaisseaux de xylème remplis d'eau. Comme on peut l'imaginer, lorsque les arbres fonctionnent avec un PCL élevé (même en présence d'humidité du sol disponible), ils sont plus vulnérables. Face à l'augmentation de la fréquence, de la durée et de l'intensité des sécheresses dans de nombreuses régions du monde, il est plus urgent que jamais de comprendre les mécanismes par lesquels les défaillances hydrauliques contribuent à la mortalité des arbres. Que je travaille sur le terrain, en serre ou en laboratoire, je pense souvent aux montagnes du Nouveau-Mexique jonchées de chicots gris acier. La mortalité des arbres va s'aggraver et nous devons nous atteler sans tarder à comprendre ces mécanismes afin de mieux prévoir les zones les plus menacées.
