L'apomixie (formation de graines asexuées) génère des plantes clonales avec un génotype maternel. apomictique Hiéracium sous-genre Piloselle les espèces forment de manière mitotique des gamètes femelles, l'embryon et l'endosperme de la graine se développant de manière autonome (sans fécondation). Henderson et al. examiner l'expression du trait dominant de l'endosperme autonome (AutE) dans la descendance de croisements caractérisés par des gamètes femelles se formant par mitose ou sexuellement via la méiose et nécessitant une fécondation pour la formation d'embryons.
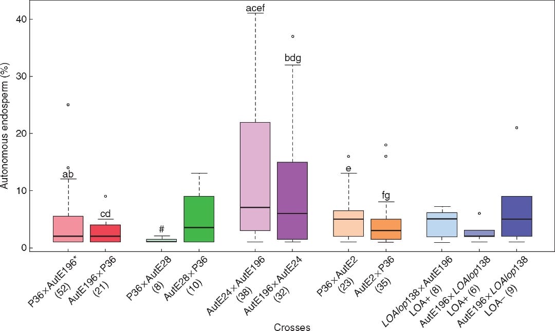
Diagramme en boîte à moustaches représentant la proportion d'ovules à endosperme autonome dans les populations issues de différents croisements. Les boîtes correspondent aux premier et troisième quartiles, et la bande intérieure indique la médiane. Les moustaches représentent les intervalles de confiance à 95 %. Les valeurs aberrantes sont représentées par des cercles. Le nombre de descendants présentant le caractère « endosperme autonome » est indiqué entre parenthèses sous chaque croisement. La significativité statistique (P < 0,05) des différences d'expressivité de l'endosperme autonome entre les différents croisements a été déterminée par le test U de Mann-Whitney et est indiquée par des paires de lettres au-dessus des populations issues des croisements concernés. #Ce croisement n'a pas été inclus dans l'analyse statistique quantitative de l'endosperme autonome en raison d'une fréquence élevée d'avortement du sac embryonnaire, susceptible de fausser les résultats. *Ce croisement a déjà été décrit (Ogawa et al., 2013). LOA+ et LOA– désignent respectivement les descendants aposporés et non aposporés.
Concluant que le mode de formation des gamètes femelles n'influence pas de manière significative l'expressivité d'AutE, les auteurs suggèrent que des recherches supplémentaires sur d'autres facteurs génétiques en plus d'AutE pourraient aider à établir l'expression élevée des traits trouvés chez les apomictes. Un groupe de liaison portant le locus AutE a été identifié.
Les aiguilles densément serrées le long des pousses des conifères à feuilles persistantes présentent des caractéristiques photosynthétiques adaptées à l'ombre, même en plein soleil.